谢富胜等:数字平台与制造业企业利润率
发布时间:2025-04-25内容摘要:数字平台作为新的商业资本的具体形态,凭借其加速制造业商品流通与资本周转的功能,能够提取制造业企业创造的价值从而获取利润。数字平台的“加速周转”效应与“价值提取”效应共同作用于制造业企业利润率,随着制造业的数字平台投入越过一定门槛,前者的影响逐渐被后者抵消,致使利润率下降。本文吸收任务模型和利息议价模型中对流通时间和博弈过程的设定,以一个拓展的资本循环模型刻画了上述过程;随后通过投入产出表数据构建数字平台中间投入量指标,使用门槛回归等方法验证了上述机制。相关政策需要推动制造业企业积极接入数字化产业生态系统,使平台与制造业企业之间的博弈从竞争走向合作,才能使得数字平台成为中国企业打通要素循环、塑造新发展格局的关键力量。
一、引言
随着中国经济进入新发展阶段,发展方式正在经历深刻转型。制造业企业作为实体经济的根基,是中国经济实现高质量发展、构建全球竞争优势的中坚力量。数字技术能够“推动各类资源要素快捷流动、各类市场主体加速融合,帮助市场主体重构组织模式,实现跨界发展,打破时空限制,延伸产业链条,畅通国内外经济循环”,理应成为制造业企业盈利能力提高的战略支撑。21世纪以来,中国的数字经济规模迅速扩张,其中,数字平台发展尤为瞩目:截至2022年底,中国市值前8位的平台企业总计营收高达4424.5亿美元,在全球稳居第二。然而,同期中国制造业企业的利润率却在下降。这种下降趋势固然有全球经济增长疲软、需求萎缩的缘故,但仍与数字平台企业的迅速发展态势形成了鲜明对比。在这一过程中,数字平台企业是否发挥了预期作用、能否真正促进制造业企业利润率提升?数字平台企业又会通过哪些渠道和机制影响利润率?这正是本文将要研究的问题。通过识别数字平台投入与制造业企业利润率的联系,本文将为实现数字经济和实体经济深度融合、以数字技术赋能实体经济发展提供行之有效的建议。
对于数字平台如何影响制造业利润率这一重要问题,国内外少有直接研究,现有间接研究的文献主要从企业经营灵活度、信息和资源可得性、研发与创新等机制入手来分析,但存在平台内涵界定不准确、理论建模不充分等问题。从企业经营灵活程度来看,数字平台可强化企业生产、组织与合作的灵活性,精准满足顾客需求,但可能减少企业产能浪费。从信息和资源可得性来看,数字平台促进信息披露与流通,最终改善企业表现。从研发与创新来看,数字平台可提高企业创新和差异化能力、降低产品研发成本。从分析对象看,这些文献或是只讨论数字平台的某一子类,或是讨论数字平台时混杂着作为固定资产的数控生产设备和生产性数字软件,无法厘清数字平台影响制造业企业利润率的内在机制。从分析方法上看,只有少部分文献采用了回归分析方法,更多文献停留在纯理论分析、质性研究和案例调研。
为更好地探究数字平台对制造业企业利润率的影响,本文在马克思主义政治经济学的分析框架内,以改进后的资本循环模型、任务模型和利息议价模型刻画了相应的经济过程,并通过投入产出表数据构建了数字平台投入量的相关指标,利用中国A股制造业上市公司数据进行实证检验。本文的创新主要体现在三个方面:第一,在研究视角上,试图打开数字经济的“黑箱”,区分了生产性的数字设备、数字软件等非平台数字投入和数字平台投入,探究了数字平台对制造业企业利润率的影响方向和机制。第二,在马克思主义政治经济学范式下分析了数字平台的非生产性与利润获取方式,并拓展了Foley的资本循环模型,吸收Acemoglu和Restrepo的任务模型和Ciola的利息率议价模型的思路,将原模型中数字平台对周转的加速内生化,并采用纳什讨价还价博弈内生化数字平台方的议价能力,由此考察数字平台投入对利润率的非线性影响。第三,使用投入产出表中的细分行业数据,构建了作为流动资本投入的数字平台费用指标,并使用门槛回归模型等方法,进行了基准回归与机制检验,填补了本领域经验研究的空白。
理论与经验分析结果显示:当下数字平台主要作为一种非生产性的销售设施,其投入须控制在一定范围内,才能够对制造业企业利润率产生正面影响,过多的数字平台投入会抑制制造业企业利润获取。之所以出现这种先增后减的趋势,主要因为:一方面,数字平台能够通过加速资本周转提高制造业企业利润率;另一方面,数字平台会提取制造业企业生产过程创造的剩余价值,可能抑制相应利润率的增加。这两种趋势的相互抵消作用会随着数字平台投入量的变化而变化。本文余下内容安排如下:第二节提出一个马克思主义政治经济学的分析框架,并构建了数理模型;第三节介绍了数据来源与变量构造方法;第四节是经验分析;最后是结论与政策建议。
二、理论分析与模型设定
在马克思主义政治经济学的分析范式中,各类商业资本为产业资本提供了“价格计算、簿记、出纳、通讯”等专门功能,有助于资本完成从商品到货币形式的跨越,加速了产业资本的周转,此为正向的“加速周转”效应。但是,商业资本的雇佣劳动不创造新价值,其利润来源根本上是产业资本循环中创造并让渡的价值,此为“价值提取”效应。数字平台作为新型商业资本的具体形态,通过上述效应影响了制造业企业的利润率。本节以上述基本理论分析为出发点,分析了包含电商平台、供应链平台等在内的数字平台如何影响制造业企业利润率,并构建模型来说明上述过程。
(一)利润来源:价值的创造和提取
财务报表中体现的利润率是会计层面的经验事实,但从本质上看,利润来源于剩余价值:“我们目前在这里看到的利润,和剩余价值是一回事,不过它具有一个神秘化的形式,而这个神秘化的形式必然会从资本主义生产方式中产生出来。”而对于价值的来源,马克思在《政治经济学批判(导言)》中划分了“生产”“分配”“交换”与“消费”四大经济领域,并指出只有处于生产领域的劳动才能创造价值:在生产领域,劳动者将自己的劳动力物化在产品内,形成体现使用价值、最终指向个人消费的客体;在分配领域,不同社会成员获取不同比例的直接产品;在交换领域,按照各自的需求,社会成员之间彼此交换分配中获取的产品;在最后的消费领域则发生“物主体化”,产品作为劳动力再生产的要素被吸收为主体的一部分。在整个过程中,“生产既支配着与其他要素相对而言的生产自身,也支配着其他要素。”生产领域是唯一能产生价值的领域,在分配、交换领域的劳动和消费领域的活动均不创造价值。制造业等部门的活动最终指向消费品的生产,产生了新价值。而流通领域的各类劳动虽能创造新劳动产品,例如广告、簿记等,但均不指向最终消费品,仅仅作为流通所需的要素辅助消费品的出售。因此,资本流通本质上处于交换领域,涉及的劳动不创造价值,甚至“资本流通时间表现为丧失价值的时间”。
但是,不创造价值的商业资本也能够获取利润,“流通的速度却决定生产过程重复的速度,决定创造价值的速度,也就是说,虽然不决定价值,但在某种程度上却决定价值的数量。”这是因为:“……既然它有助于流通时间的缩短,它就能间接地有助于产业资本家所生产的剩余价值的增加。既然它有助于市场的扩大,并对资本之间的分工起中介作用,因而使资本能够按更大的规模来经营,它的职能也就提高产业资本的生产效率和促进产业资本的积累。既然它缩短流通时间,它也就提高剩余价值对预付资本的比率,也就是提高利润率。既然它把资本的一个较小部分作为货币资本束缚在流通领域中,它就增大了直接用于生产的那部分资本。”全社会的总利润首先由生产领域的劳动所创造,而生产资本须借助商业资本来实现或加快资本周转,新创造的价值必须被分配并让渡给自身不创造价值的商业资本,商业资本也由此获取了一定的利润。因此,关于商业资本介入生产资本循环,需要从价值创造与价值提取这两个相互联系的过程考察。
(二)数字平台与制造业企业利润率:影响机制
上述讨论的产业资本价值创造与商业资本价值提取的问题,可以应用于对数字平台收入来源的探讨。数字平台大致可分为三类:(1)促进商品和劳务流通的平台;(2)促进信息流通和社会交往的平台;(3)作为数字基础设施的平台,如云计算平台。其中,仅有第三类中包含少部分生产性平台。绝大部分数字平台本质上是在流通领域发挥作用的商业资本的新形态,不创造新价值。然而,平台企业可以加速制造业商品流通和资本周转而具备价值提取的能力。
数字平台涉及的劳动不创造新价值,平台企业要想获取利润,只能提取诸如制造业企业等生产性企业创造的价值。尽管部分学者认为,包含用户浏览、软件开发、媒体制作等方面的各类“数字劳动”都是创造价值的,因为人类通过数字劳动有意识地创造出的数字产品——作为处理器、储存器等电子器件的物理形式改变的痕迹,都被平台资本占有并利用。但正如前文所分析的,这些数字产品的使用价值,包括制造业企业采购的系统运维、供应链管理、产品推广等各类数字平台服务并非指向最终消费,而是服务于产品推广、数据分析、决策整合等流通活动。因此,平台企业雇佣的劳动自身并不能创造价值,而只能以租金的形式提取其他类型企业劳动者所生产出的价值。当制造业企业付费采购平台提供服务时,就产生了平台对制造业企业利润率的第一重机制——“价值提取”机制。
数字平台企业之所以能够进行“价值提取”,本质是因为能作为商业资本行使流通职能,加速制造业企业资本周转。从经验上来看,21世纪前十年中国数字技术飞速发展,传统的非生产领域商业活动被数字技术改造后,率先以互联网电商平台等形式出现在消费者的视野中。互联网商业交易并非面对面交易,需要第三方来监督款项支付,于是支付宝等互联网金融结算平台应运而生。这类数字平台部门通过寻找或匹配潜在购买者,润滑买家购买渠道,使原本因地理、信息等条件限制无法促成的交易得以实现。例如,数字平台能以扩大交易的地理空间范围、增加企业商品的曝光度等方式扩大商品市场份额,而市场份额的扩大最终落脚于产业资本周转的加速。这一机制在不同角度得到了确认:从商品和服务供给端看,公司的电子商务综合能力和信息基础设施水平可以提高员工平均销售量和资本周转率;从单个消费者端看,时尚产业的线上购物平台提高了单个消费者的购物体验,促进了销量增长;从消费者端互动看,数字平台可以通过用户评价系统收集不同消费者的消费反馈,提高顾客对商品的信心,促进销量增长。
值得注意的是,数字平台的非生产性意味着其必须保持在合理的规模之内。正如马克思所言:“只要商人资本没有超过它的必要的比例,那就必须承认……不仅生产者可以把他的商品较早地转化为货币,而且商品资本本身也会比它处在生产者手中的时候更快地完成它的形态变化。”然而,“同产业资本相比,商人资本越大,产业利润率就越小。”数字平台的规模扩大到一定程度,其垄断势力使其获取超过特定份额的利润转移时,其对制造业企业利润率的影响就可能由提升转为抑制。一些研究已经从侧面证明了可能存在的抑制效应,例如,对Facebook等大型平台企业的测算说明,大型数字平台企业提取了大量来自其他行业以及行业内其他企业的租金;而非生产部门提取生产部门的利润,阻碍了生产部门的进一步积累和经济增长。
上述理论分析表明,数字平台资本总体上是非生产的,在其发展的初期规模较小、尚未形成市场势力,“价值提取”能力也较弱,而“加速周转”的效应较强。随着时间推移,数字产业头部企业成长为具有市场势力的大型数字平台企业,同等服务下可以收取垄断价格。生产性企业如需提高其资本周转速度,则要向其转移比以往更多的价值。由于短期内企业存货和产能的限制,企业一定时间内所能周转的货物最大值不会超过其全产能利用率所规定的产量,平台加速产业资本周转的能力因而会趋向饱和。在平台服务价格提高与企业趋近周转速度上限的情形下,数字平台服务的“投入—产出比”愈发下降,平台资本和产业资本之间的关系从共赢转为冲突。由于企业之间存在竞争关系,平台服务即使已对利润率产生负面影响,如果企业贸然停止购买平台服务,企业自身的市场也可能迅速消失,遭受更大损失。企业只得接受利润率的降低,继续依附于平台。
(三)模型设定
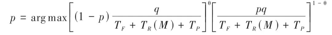
本文试图通过一个模型来形式化上述理论分析。为了构造一个关于数字平台应用与制造业企业利润率的完整模型,刻画“加速周转”和“价值提取”机制,并纳入不同类型企业间议价能力的对比,采取Foley的资本循环模型作为基准模型,将企业利润率与流通时间和稳态增长率建立联系。为了内生化基础模型中的流通时间和平台提取份额变量,并在范式逻辑上与基础模型保持一致,本文借鉴Acemoglu和Restrepo的任务模型中对劳动过程分解的相关设定,以及Ciola的模型对议价机制的刻画方法,分别呼应马克思对协作劳动和资本间竞争的理论分析。改进后的模型最终得出平台投入与利润率之间先正后负的非线性相关关系。
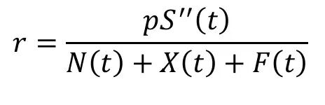
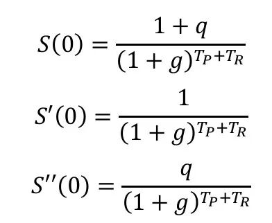
在Foley的基础模型中,利润率由下式给出:

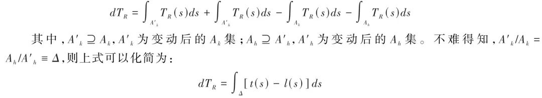
其中,r为利润率,q为加价率,TF为货币资本时滞,TR为商品资本时滞,TP为生产资本时滞。假定企业在流通阶段存在若干(有限或无限多)个任务(task)s,其属于任务集合A,而A可以进一步分为两个子集,即采用人工的任务集合Ah和采用数字平台的任务集合Ak。假定每个任务所需花费的时间可以表示为如下形式:

其中,P表示该任务是否使用数字平台,为0-1二值变量。t(s)为使用数字平台完成这个任务时所花费的时间。l(s)为使用纯人工时所花费的时间,假定其远大于t(s)。假定平台技术的进步最先发生在流通效率提升最快的任务中,即l(s)-t(s)相对较大的任务中,记Z∈(0,+∞)为当前平台技术的前沿指数。当1/(l(s)-t(s))

定义总流通时间为:

随着时间的推移,数字平台技术会出现创新,定义为Z值的增大,进而导致Ak的测度(记为M)增大。这一创新将当前尚无法或者尚不适合被平台化的流通任务平台化。在技术进步发生后,生产部门的一些企业会采用最新技术,这使得其可以在短期内抢夺尚未采用最新技术企业的销售市场,扩大非均衡状态下的利润率。在伯川德(Bertrand)式的竞争市场下,均衡时所有企业必须跟进采用这一技术前沿Z值所代表的平台服务量M,而放弃使用效率更低的人工。当Z发生微小进步,进而使得Ak测度增大、Ah测度减小时,企业的流通时间变动可以写作:

为简洁起见,假定t(s)-l(s)=k为常数,则dTR=k|Δ|,|Δ|为Δ的测度。因l(s)≫t(s),则k的绝对值足够大。更加现实的假定是:首先,平台资本会按照时间优化程度的顺序来选择技术进步的方向,这使得越晚发展的平台技术t(s)值越大,对效率的改进越少;其次,数字平台技术在过度发展后(M较大时),平台“内卷”进一步加剧,只能在原有流通速度下,通过广告位拍卖等方法加剧企业间竞争,其展览的商品数量和质量总体来看并未发生变化,消费者个性化、多样化的需求也并未因此而得到更高水平的满足。基于以上两点理由,t(s)将呈现停滞甚至递增的趋势,当l(s)变化不大时,Δ内t(s)-l(s)的绝对值也将趋于停滞甚至递减。从这一层假定来看,随着M增大,k的绝对值将停滞或递减。
在存在数字平台部门时,平台与生产部门进行利润分割。同时,生产部门向平台采购一定强度的平台服务,用以降低TR,即降低流通时间的大小。平台所能分割利润率的大小仍需进一步建模,因此,本文借鉴Ciola的方法试图对这一利润分割进行内生化,分割的基准是无平台时的利润率,即(*)式。
生产部门企业与数字平台进行纳什讨价还价博弈。所谓纳什讨价还价博弈,是指双方同时报出自己所想要的收益的份额,若二人无法达成协议,则受到惩罚。在引入双方议价能力不平等的情景下,利用Roth的结论,该博弈可以视为对以下纳什乘积求最大化:

其中,p为利润分割比例,θ(M)为将Ak的测度M映射到θ∈(0,1)的单调递增函数,即平台方的相对议价能力的指数。此处假定M提高会提高平台的议价能力。在本文的语境中,假定其他因素不变,仅考虑由于平台技术进步导致M升高,进而引起θ升高的情况,求解上式最大化问题可得:

假定平衡增长路径上,每次循环的分割比例保持稳定。利用(*)式知生产部门的利润率为:

对M求微分可得:

在t(s)-l(s)为常数的假定下,记分子为G:

其中,等式右边前半部分显然为负,后半部分显然为正。随着时间推移和技术进步,企业的数字平台投入强度会越来越大,进而使得利润率表现出先递增,后递减的趋势。这也是本文需要实证检验的关键假设。
三、数据选取与计量模型
本节以中国A股制造业上市公司作为样本,以投入产出表的行业层面数据推算企业样本对数字平台的中间投入量,并将其作为回归的关键解释变量,对核心假设进行计量模型设定。
(一)模型设定
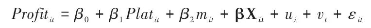
本文的基准回归模型如下所示:

其中,Profitit表示第i家公司t年的利润率。Platij是本文的关键解释变量,表示第i家公司t年每生产1单位价值的产品要向数字平台采购的中间投入量。参照已有相关文献,本文还控制了有机构成、总资产的对数、权益乘数、营收增长率、前十大股东股权集中度、企业年龄、机构投资者持股占比、流动比率等变量,用Xij表示。除此之外,还控制了企业和时间的双向固定效应。本文的所有回归模型在估计标准误时均聚类到企业层面。
需要注意的是,在控制变量中加入了表征资本周转率的变量是一种常见做法,但根据本文理论建构,对平台的价值转移正是通过增大资本周转速度来对利润率产生正向影响的,诸多表征资本周转速度的变量理论上处于中介变量的位置上,对其进行控制会导致关键解释变量对因变量的效应消失,是一种“坏控制”(bad control)。故本文始终不对其进行控制,而是在机制检验中验证这一机制的存在。此外,也有许多文献在控制变量中加入所有制这一虚拟变量,但由于企业所有制不随时间变动,其效应会被企业固定效应吸收,故不控制所有制变量。
同时,为了验证上文所提出的关键假设:随着转移价值的增大,这一价值转移对利润率的贡献逐渐下降,最终变为负数,本文还估计了如下门槛回归模型:

其中,c代表门槛值,其余变量的含义均保持一致。需要特别说明的是,上式虽仅显示了一个门槛值,但在实际估计的过程中,可能有多个门槛值,门槛数量可用统计推断得出。但无论是几门槛模型,只要随关键解释变量增大,各分段内系数估计值逐渐降低为负,都可说明本文假设成立。
(二)关键解释变量构造及其数据来源
目前公开可获取的数据均不含制造业企业对数字平台的投入数据,已有研究中的方法也无法满足本研究需要。因此,借鉴戴翔和杨双至的方法,采用投入产出表中行业层面数据推算企业层面数字平台中间投入。这类以行业层面数据构造企业、地区层面等数据的方法广泛出现在对工业机器人等的研究中,可追溯至Acemoglu和Restrepo对美国通勤区内的机器人冲击的研究,具有一定文献共识。
在使用投入产出表行业层面数据推算企业层面关键解释变量时,有几类投入产出表在经验研究中较为常见:国家统计局编制的全国投入产出表,张红霞等编制的中国1981—2018年投入产出表,WIOD(World input-output database)和经济合作与发展组织(OECD)的世界投入产出表。其中,国家统计局发布的全国投入产出表存在两大问题:一是延长表每五年发布一次,样本不足;二是国家统计局在对企业进行投入产出调查时,将企业的上网费用计入互联网服务中间投入中,故制造业企业的互联网服务中间投入存在相当一部分的上网费,而不包含向数字平台外包或购买的服务。张红霞等发布的投入产出表虽然符合连续年份的样本要求,但行业分类不够精细,无法找到对应的数字经济中间投入项。WIOD基本符合行业分类的要求,但由于最近年份为2014年,无法反映近年来中国数字平台发展的面貌。上文所重点强调的上网费在OECD投入产出表中并未被开列在“IT和其他信息服务”中,而是开列在“电信”(telecommunication)中,也恰好避开了国家统计局全国投入产出表中上网费用混入信息服务的缺点。故而,本文选取了行业分类较细,且年份近至2020年的OECD世界投入产出表2011—2020年数据作为主要数据来源。之所以选择这一期间内的数据,是因为:一方面,自2011年起,中国的数字平台以及支撑数字平台的数字基础设施发展在数量和质量上都有了很大的提高。在2011年以前,数字平台的使用几乎只可在电脑上进行,但随着移动互联网技术的发展,人们使用手机便可以连接上高速便捷的网络,使数字平台渗入日常生活每个角落成为可能。另一方面,中国的经济发展在这一时期也进入了经济增速放缓并向高质量发展转型的关键时期,这一时期内的数字平台作用应得到着重考察。通过对投入产出表编制原理的考察,中间投入象限的“IT和其他信息服务”可以被认为绝大部分由数字平台服务构成。在此基础上,本文计算了各制造业小类对数字平台的直接消耗系数,作为进一步构造企业层面关键解释变量的基准值。此外,由于价值量不可直接观测得,只能通过价格这一“价值形式”来表现,故而可以用制造业以货币计价的“IT和其他信息服务”中间投入数据来表征制造业企业行业层面对数字平台的价值转移。
在构造企业层面关键解释变量时,戴翔和杨双至以行业直接消耗系数为基准值,以公司人均资产与行业人均资产之比作为乘数构造公司层面数字经济指标。王永钦和董雯、李建君和吴周易以及张军等用公司员工人数与行业员工平均数之比作为乘数构造企业层面指标。而Acemoglu和Restrepo用通勤区内简单劳动者份额与行业均值的比值作为乘数构建通勤区层面指标。本文借鉴其方法,并根据研究范式和研究对象加以改进:企业人数主要和企业生产能力挂钩,而人均资产体现在现金存量、机器存量和存货存量等指标,同样体现的是企业生产能力,而本研究着重突出生产与流通领域的区分,须识别企业对流通领域数字服务的投入。广告费用显示了企业销售产品的努力程度,一定程度反映了企业对数字平台的投入水平。Ptok等人对数百家企业的营销费用的统计分析表明,广告费用与企业在各类媒体(包括互联网)上的推广费用(不含销售人员工资)的相关系数高达0.75,因现代传媒中互联网占首要地位,故而广告费用是一个良好的代理指标。因此,本文关键解释变量Platij的构造方法为:首先计算出企业的广告费用与营业收入之比得出广告费用率,其次计算全行业内广告费用率的均值,最后用企业广告费用率除以行业均值作为广告乘数,与行业直接消耗系数相乘。

(三)其他变量数据来源
本文其他变量取自国泰安数据库2011—2020年的沪深A股上市制造业企业数据。首先,在得到原始数据后,剔除了在样本数据期内名称发生变化的企业,这排除了ST企业和经过重大重组的企业,留下了经营状态稳定的企业。其次,手工将极个别用工人数变动较大的企业在年报中核实,并剔除无法核实的样本。再次,剔除极个别被归类于制造业中,但实际上已经转为了投资性企业的公司(如大港股份等)。本文还剔除了利润相对工资总额过于反常的样本,即利润工资比大于100倍的企业。最后,对所有变量执行了上下1%的缩尾处理,并对参与门槛回归的变量进行平衡化。最终,本文获得408家上市公司共4080条数据。
被解释变量安排如下:在基准回归中使用营业利润边际(operating profit margin)指标,其计算方式为利润总额除以总营业收入,并以总资产报酬率(ROA)作为稳健检验变量。这两个变量是管理学中常见的用于表征企业绩效和管理层决策参考的指标。此外,本文也引入了政治经济学的利润率指标。在马克思对利润率的经验性研究中,其对不同情境下的问题采用了不同的经验指标,将利润率的分母取作存货与固定资产之和而不纳入其他中间投入品,较为符合现代会计制度下企业决策的实际。考虑到关于如何度量政治经济学的利润率指标尚未形成标准统一的做法,本文将其作为稳健性检验变量加入回归中。
机制变量安排如下:取原始数据中存货周转率作为正向机制变量,该变量度量了存货总体的周转速度;取广告费用占总成本(以总销售额减去总利润代理)之比作为负向机制变量,该变量表征了每单位成本中企业向非生产性资本转移的价值。
控制变量安排如下:有机构成,以固定资产金额除以工资总额代理;总资产对数,从原始数据中总资产直接取对数而得;其余控制变量诸如权益乘数、营收增长率、前十大股东股权集中度、企业年龄、机构投资者持股占比与流动比率均从原始数据中直接取得。
四、回归结果与分析
首先,本节对面板模型和门槛模型进行了回归,结果符合理论假设。其次,为了检测回归结果的稳健性,使用了工具变量,引入另外两个利润率度量指标替换掉原先被解释变量,使用完全消耗系数替换原先关键解释变量,引入广告费用乘数作为控制变量,结果均稳健。再次,检验了数字平台提高和降低利润率的两条渠道,结果符合预期。最后,分析了不同生产力和客户集中度的企业关键解释变量效应的异质性,结果亦符合预期。
(一)基准回归
本文采用面板固定效应与随机效应模型来估计基准回归方程(时间始终采取固定效应,企业采取固定效应或随机效应),结果如表1所示。经过豪斯曼检验,基准模型应采用固定效应模型。在固定效应模型中,关键解释变量符号显著为负;在其他显著的控制变量中,符号也基本符合预期。基准回归的结果证实了关键假设。此外,还在双重固定效应之上引入了行业—时间固定效应,关键解释变量符号显著为负,同样符合预期。

继续使用单门槛、二门槛和三门槛模型进行回归,并使用bootstrap法对门槛的显著性进行检验。如表2所示,只有三门槛模型的第三个门槛效应不显著,其余门槛效应均显著。由三类门槛估计值可得,随着对数字平台中间投入的提高,利润率影响效应越来越小,最终转负。在单门槛模型中,效应全部为负;在二门槛模型中,效应先由正变小,最后变负;三门槛模型出现了类似现象,但因不存在三门槛,故无需考虑这一结果,应以二门槛结果为准。以上结果说明,数字平台投入对制造业企业利润率的影响先为正,随着中间投入增多而转为负,验证了上文提出的假设。

(二)内生性处理
在基准回归部分,本文分别使用面板固定效应模型和面板门槛模型进行回归,这可能存在内生性。目前国内研究相关问题时广泛使用国外同行业数据作为工具变量,均源于Acemoglu和Restrepo使用欧洲机器人技术发达的五个国家的行业数据作为美国对应行业的工具变量的做法,其背后的假设在于,欧洲国家和美国机器人使用增加的共同因素有且仅有机器人技术进步一项。这一假设保证了工具变量的外生性。本文沿袭了上述文献做法,但使用美国、法国对应行业以及中国相邻行业的直接消耗系数数据作为工具变量。所谓中国相邻行业,是指在行业序号上相邻的行业。例如,如果样本属于13号行业,则以14号行业的直接消耗系数作为工具变量,这是基于相邻行业的数字平台投入不会直接影响本行业利润率的假设。美国、法国和中国的数据分别代表了英语国家和地区、欧洲大陆发达国家和中国这一数字平台大国的平台技术进步,三者共同代表了全球范围内的平台技术进步。全球范围内的数字平台技术进步不直接影响中国制造业企业的利润率,而仅通过影响中国企业的数字平台投入来影响利润率,故工具变量满足外生性条件。同时,数字技术传播极快,上述各国均能在短期内跟进,故工具变量满足相关性条件。该工具变量也通过了面板模型Stock-Yogo弱工具变量检验和Hansen过度识别检验。在使用工具变量时,因门槛值尚未确定,无法直接使用GMM或2SLS。Seo和Shin提出了有内生性的动态和静态面板门槛模型的估计方法,更适合本文情景。这一方法默认门槛数为1,首先报告门槛前的系数估计值,然后报告门槛后与门槛前系数估计值之差。在工具变量门槛回归中,第一段系数估计值显著为正,两段系数估计值之差也显著为负,说明门槛效应存在。第二段系数估计值为第一段系数估计值加系数之差,其值小于0,故在工具变量修正下,效应仍然由正转负,保持了稳健性。
(三)稳健性检验
1.更换因变量指标
上文采用的因变量由营业利润除以营业收入构造而得,仅考虑这一指标可能存在偶然性。为检验结果稳健性,本文还使用经营利润率和总资产报酬率作为因变量,并对其进行上下1%的缩尾处理,重复基准回归。对营业利润率边际而言,关键解释变量系数估计值显著,符号为负。这意味着从平均的角度而言,数字平台中间投入会抑制利润率。其他指标下的关键解释变量系数估计值虽然不显著,但符号仍为负,需进一步使用门槛模型详细区分不同区间内的效应。三项指标双门槛效应均显著存在,且估计值同样呈现出先正后负趋势。综合考虑三项指标,可认为结果稳健。
2.更换关键解释变量指标
基准回归借助直接消耗系数构建关键解释变量,为证明结论稳健性,采用完全消耗系数构造的关键解释变量重复三个利润率指标下的单门槛回归。附表5列(1)与列(3)的双门槛效应均显著存在,其估计结果显著地表明,关键解释变量的效应存在由正转负的趋势。在列(2)指标下,双门槛不存在,单门槛结果表明无论在门槛前后,关键解释变量对利润率的效应均为负。综合考虑这三个指标的结果,可认为稳健性良好。
3.对自变量指标建构的稳健性讨论
本文还采用行业对IT服务的直接消耗系数与企业广告系数相对行业均值的比值来构造企业层面的直接消耗系数。其中的假设在于:一个企业如果更多地对广告部门进行投入,那么在这一广告成本中,向数字平台所支付的广告费用也越多,从而得以在与其他企业的“注意力竞争”中获得更高的产品推广度,或通过提高供应链的管理效率来加快资本周转。无论是直接购买服务,还是间接支付平台企业佣金,都可能反映在广告费用或广义的销售费用中。尽管如此,上文的计量方法仍然面临着一个问题,即上文关键解释变量所体现出的显著性是否只是广告费用这个变量所带来的效应?为了讨论这一问题,转而估计下面这个方程及其关于关键解释变量的门槛模型:

其中,

mit可称之为广告乘数,它在上文关键解释变量的构造中起到了核心作用。引入这一控制变量的目的在于进一步排除广告费用对利润率的影响,若β1仍显著,就说明在排除广告乘数的效应后,数字平台投入的确会对企业利润率产生影响,关键解释变量的效应不能完全被广告乘数所解释。附表6列(1)显示,控制关键解释变量和广告乘数后,关键解释变量对经营利润率指标有负向影响但不显著。考虑到可能的门槛效应,进一步估计了门槛模型。列(2)为单门槛模型,门槛显著存在,其第二段结果虽不显著,但仍体现出先正后负的趋势,符合本文假设。列(3)为双门槛模型,双门槛均显著存在,三段指标均显著,体现出先正后负趋势。三门槛不存在,故而以双门槛回归为最终参考结果,这说明在排除广告乘数的影响后,对数字平台中间投入仍然显著呈现先正后负的效应。本文构造的自变量指标是有效的。
(四)机制检验
前文讨论了数字平台部门影响生产部门利润率的两大机制——“加速周转”与“价值提取”。那么,两类机制是否真实存在呢?考虑江艇对中介效应和调节效应检验的建议,在机制讨论中,只使用计量方法检验关键解释变量与机制变量的作用渠道。
第一,数字平台的“加速周转”机制。会计上采用总资产周转率来衡量资本周转效率,总资产周转率一般定义为一定时期的营业收入净额与该时期内的平均资产总额之比,反映企业在该段时间中资产的周转情况,既包括原材料的周转,又包括产成品的周转,还包括应收账款和现金等资产的周转。但是,这一常用指标不符合本文研究语境,数字平台的主要功能是促进存货等流动资本的流通,其对固定资本的影响力较小,故而将基准回归的因变量改为存货周转率进行检验,关键解释变量符号为正。以上结果说明制造业企业对数字平台的价值转移的确提高了存货周转率,符合理论预期。
第二,数字平台的“价值提取”机制。制造业企业对原料的中间投入转化为企业自身持有的存货价值,而对数字平台的中间投入则转化为对平台企业的价值让渡。马克思对商业利润的分析中揭示了这一点:商业资本规模越大,产业资本让渡的价值就越多。在实证检验上,将广告费用与企业年总成本(以营收减去利润计)之比视为企业向商业资本价值让渡的代理变量,用关键解释变量对其回归。结果均显示,对数字平台中间投入显著提高了单位销售额中向商业资本让渡的价值,符合本文理论预期。

(五)异质性分析
第一,生产力异质性。上文的数理模型指出,数字平台“加速周转”的机制会受到企业自身生产力的影响。企业的生产力越高,一方面说明企业有待实现的商品价值越大,在这一情形下,对数字平台中间投入的正面效果仍较大;另一方面说明企业资产越多,“价值提取”对利润率的负面影响会被资产量所稀释。故而,数字平台中间投入对利润率的效应相对于企业的生产力存在异质性,企业生产力越高,在同等数字平台采购量下,对利润率的正效应越大。基于此,将控制变量中的劳动生产率与关键解释变量做交互,估计以下模型:

其中,LP为劳动生产率,以人均销售额计算而得,用来代理企业的生产力,回归结果如表4第(1)、(2)列所示。关键解释变量水平项系数估计值为负,与劳动生产率的交互项系数估计值为正,均十分显著。这意味着,当有机构成很小时,关键解释变量对利润率的效应为负,而随着劳动生产率上升,企业生产力提高,关键解释变量的效应将一定程度上被冲抵,符合本文的理论预测。使用工具变量重复检验,结果保持不变。
第二,平台参与弹性的异质性。Armstrong的双边市场垄断平台模型认为,若平台一方的参与弹性较低(即当平台带来的效用减少时,仍保持参与),则平台会向其收取较高价格。如果一个制造业企业的客户销售份额集中度越低,那么这个企业面临的市场是一个较不稳定,客户较为零散的市场,此时企业更依赖平台的介入来获得客户,其参与弹性较低,导致企业的数字平台投入较大。如果企业的客户较大,且较为稳定,则无需平台作用即可完成产品的销售,其平台参与弹性较高,平台的议价能力较小,企业的数字平台投入较小。企业对数字平台的投入,实际上就是平台从企业中分得的利润,这一指标与上文模型中的θ参数类似。为验证这一假设,以企业前五大客户销售份额的赫芬达尔指数为自变量,以关键解释变量为因变量估计以下方程:

并使用完全消耗系数重复回归,结果如表4第(3)、(4)列所示,系数显著为负,符合预期。

(六)拓展分析
上文讨论了平台服务采购对企业利润率的非线性影响,“加速周转”和“价值提取”两大机制均得到了检验,但这只是基于商业资本理论推导出的机制,在19世纪,单边市场是商业资本执行职能时的绝大多数情形。在平台经济条件下,商业资本发挥作用是通过双边市场完成的。此时,不仅存在数字平台和制造业企业之间的直接互动,平台间的激烈竞争还会间接压低企业售价,从而降低企业利润率。例如,当用户端的网络外部性小于商家端时,平台会用商家端的剩余交叉补贴用户端,甚至对用户端免费。当新平台进入竞争领域时,现有平台倾向于降低商品价格至新平台边际成本以下,甚至采用掠夺性定价来留住用户,从而提高进入壁垒。这些理论说明,在数字平台处,商家处于弱势地位,数字平台的竞争加剧并不意味着对商家价值提取的减轻,反而以商家的利润率为代价,提高了消费者的福利。这一渠道的主要目的不在于增大数字平台在单次交易中的价值提取,而是将生产者的剩余转移到消费者手中以留住客户,是一种交叉补贴。但由于商家的利润仍客观上被剥夺,本文仍将这一交叉补贴机制归入“价值提取”中。
由于难以在微观上获取每家企业受数字平台竞争压价的影响数据,本文从宏观上论证数字平台竞争加剧对制造业利润率的负面影响。本文使用电商平台实物商品交易量的增长率来代理平台向消费者让利的力度。自2017年第一季度以来,商务部连续公布了30期电商平台实物商品交易量数据,故年均增长率共29期。此外,还使用了统计局公布的2017年至今制造业营业利润边际的季度数据进行时间序列分析。对以上两个时间序列进行ADF检验得出,电商平台实物商品交易量增长率(记为X)与营业利润率边际(记为Y)序列均为平稳时间序列,可进一步分析。
本文使用时间序列分析中常用的格兰杰因果检验来检测Y与X序列之间的因果关系。若X是Y的格兰杰因,那么将X序列加入Y的自回归模型中,系数应显著。这意味着格兰杰因果表达了“解释效力”的增加,即以X来预测Y,比使用Y自身预测Y效果更好。需要注意的是,格兰杰因果并不表达在哲学上或微观因果推断上的严格因果关系,而仅是解释和预测意义上的因果关系。格兰杰因果检验基于向量自回归模型(VAR),需要指定变量滞后的阶数,并根据AIC、SBIC等信息准则选择其值最小的滞后阶数,作为格兰杰因果检验时依据的最终模型。经过计算,AIC、SBIC随着滞后阶数的增大呈现递减趋势,考虑到样本只有29期,不宜设置过多的滞后项,本文考虑滞后1-3阶的模型。在滞后2-3阶时,均存在X对Y的格兰杰因,且VAR模型系数为负。这意味着平台激烈竞争和让利的确会对制造业整体利润率产生负向影响。
五、结论与政策建议
制造业企业利润提升是中国经济高质量发展的重要前提,数字平台应用对制造业企业利润率有重要影响。本文在马克思主义政治经济学分析框架下,提炼出了数字平台影响制造业企业利润率的两大机制——“价值提取”机制和“加速周转”机制。通过内生化数字平台投入对商品资本流通时间的影响,综合Foley的资本循环模型、Acemoglu和Restrepo的任务模型和Ciola的利息率议价模型,推导出本文的关键结论:随着数字平台投入的上升,数字平台对制造业企业利润率的影响由正转负。在理论分析与数理模型基础上,使用投入产出数据构造了制造业企业的数字平台投入数据,并借助上市公司数据进行回归检验,验证了上述结论。
本文的政策启示在于:数字平台发展对制造业企业利润率的影响是辩证的,其职能在本质上有利于制造业企业发展,但由于两者分别所处的流通与生产领域相独立,造成了利润分割及其引发的制造业利润率下降趋势。为充分发挥数字平台在服务实体经济发展中的作用,需要分别在流通、生产领域进行调控,并探索生产和流通的一体化,使数字平台成为促进“实体经济和数字经济深度融合”的重要载体。基于此,提出以下政策建议:
第一,在流通领域,要调控价值转移的合理程度,探索平台企业有序发展的新政策实践。数字平台企业的垄断地位是其能够向制造业企业索取高额利润的原因,国内实物商品网上零售额占社会消费品零售总额的比例连年超过20%并逼近30%,数字平台在经济循环中掌握了较高的议价权,可能干扰利润和收入的有序分配。2016年来,国内已经推行了一些反垄断措施,党的二十届三中全会提出要“促进平台经济创新发展,健全平台经济常态化监管制度。”目前,在反垄断规制实践中,难以完全通过传统的市场份额等指标判定平台组织的市场势力。例如,平台压低商品价格,意在快速积累用户和数据、实现市场渗透,此时监管要着重在数据要素确权、规制数据滥用、调节衍生的新价值分配等关键领域开拓思路。同时,需要围绕如何规范新型组织下的多方关系开展深入实践,如建立公平竞争审查制度、加强算法等技术手段监管、探索争议解决途径等,从而防止平台利用垄断势力损害生产者与消费者福利,确保平台经济健康可持续发展。
第二,在生产领域,要推动制造业企业应用生产性数字技术,提高其价值创造能力。数字平台技术作为新一代信息技术的核心组成部分,是当前产业变革中的重要通用技术,也为中国企业提供了技术赶超、抢占国际市场的战略性窗口。要充分发展和利用数字平台技术,同时不能牺牲制造业企业利润率,必须寻求平衡之道。本文发现,生产率水平更高的制造业企业较不容易在应用数字平台时经受利润率下降。因此,企业除引入非生产性的商业数字平台技术外,还应引入高端数控机床、工业机器人、人工智能辅助设计等生产性技术。这些技术能够实现精密、复杂、小批量、多品种的零件加工组装,但国内应用还不够普遍,主要原因在于大量中小企业还缺少相应资金、人才、知识等支持。目前中国的普惠金融和数智化专项资金已逐步加大对中小企业的支持,但这些支持不能限于一次性的设备或软件投入,在技术迭代加速的当下,设备更新与软件升级也意味着需要建立长效资金扶持机制。新技术引进以后,政府还要协助企业更新组织设计,推广先进组织经验,例如通过搭建咨询智库和信息平台等方式,将个别具体经验推广为广泛组织实践。为顺利展开流程更新,还要建立一定的人才支撑体系,例如加强产学研融合、布局培养复合型创新管理人才、针对一线工人开展数字化设备操作培训等。只有新生产性技术及与之相结合的新劳动流程得以应用,才能全面提升制造业企业生产力,增大其议价空间并提高利润率。
第三,促进生产流通一体化,推进制造业企业自身实现“平台化”,并在社会范围内打造生产与流通过程紧密融合、高效协调的数字化产业生态系统。由于生产与流通过程的分割,平台和制造业企业之间存在博弈,平台企业之间也围绕着租金展开角逐,必须超越有限的利润空间与紧张的利润分割模式。对此,解决方案的雏形在20世纪丰田公司以“看板”数据系统为标志的先进生产流程中就已经出现。当前,希音(Shein)等公司更是将成熟的数字平台系统应用到规模化的产品设计、制造、物流管理中,培育起一个由多层次供应商组成的数字化的产业生态系统,迅速响应消费者的需求。在数字化产业生态系统中,平台以新的角色参与经济循环过程,对海量数据的利用深度嵌入生产环节,价值的生产与实现被整合进一个整体流程,博弈中的对抗因素消失,既实现了“加速周转”,又压缩了“价值提取”,成为制造业企业利润率提升的破局关键。在这个过程中,政府要瞄准激励核心企业和提供基础设施这两个主要方面。一方面,并非所有的企业都能够围绕内部需要培育外部生态系统,只有部分企业才能发挥“心脏”作用——在组织扁平化、外包业务的同时,要孵化并协调一批外围供应企业。因此,要综合考虑地方产业特色、地理条件、空间结构等因素,确立一批“平台型”的核心企业,支持其发挥龙头作用,同时因地制宜布局“专精特新”企业和大规模生产企业发展。另一方面,需要提供更多新型数字基础设施。企业之间充分分工、万物互联的前提是信息传递的准确性、即时性和经济性。要尽可能地加快建设工业互联网平台、云计算中心、公共服务平台、标准化接口体系等基础设施,并推动企业间技术协同和资源共享,最大化捕捉、利用生产过程中的信息流,集成经济活动,从而组织起社会化协作,挖掘出广泛的个性化、多样化消费需求,推动实现供需在更高水平上平衡的高质量发展。
附录
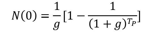
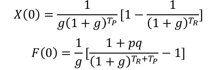
附录一:资本循环模型的推导
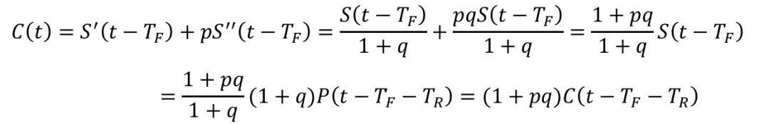
在Foley的原模型中,剩余价值的一部分并未投入数字平台,而是直接作为资本家的非生产性消费。本文将资本家非生产性消费更改为向数字平台的非生产性投入,改进后的资本循环模型如图所示:

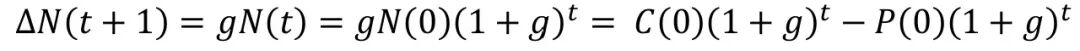
在上图所示的经济系统中,框中量为存量,箭头上的量为流量。资本家首先以货币资本购买不变和可变资本,形成生产资本,并花费TF的时间。在生产过程中,生产资本转变为商品资本,这一过程需要花费TP的时间。最后在价值实现阶段,商品资本被售卖,需要花费TR的时间。在总销售额S(t)中,S'(t)表示用来补偿原规模下再生产的资本,S''(t)表示剩余价值,其中有p的比例用以扩大再生产。(1-p)S''(t)则是非生产地消费掉的剩余价值,本模型将其假定为向平台资本让渡的价值,系统的流量方程可写作如下形式:

(1)式代表t时刻完成的产品流量来自于𝑇𝑃个时间之前流入的资本采购;(2)式代表t时刻得到价值实现的产品量来自于𝑇𝑅个时间之前的产品量加上𝑞的加成,𝑞表示因剩余价值的生产,产品相对原预付资本可以多实现的价值;(3)式代表t时刻再投资的资本量来自于𝑇𝐹个时间之前商品出售所补偿原预付资本的量与剩余价值中𝑝的比例再投资的量之和。由此,系统的存量方程可写作如下形式:

(4)-(6)式均为对应存量下,t时刻的流入量与流出量之差。在建立系统的存量-流量方程后,下面推导利润率的表达式:

假定系统增长率为g,C(0)=1,则C(t)=C(0) (1+g)t=(1+pq)C(0)(1+g)t-TF-TR-TP。将此式两边取对数后化简得:

考虑到ln(1+x)≈x,上式可进一步化简为:
(1)式在稳态增长的条件下可以写作:

化简得:

同理,结合(2)式:

而对存量方程(4)而言,稳态下:

化简得:

同理:

根据生产部门利润率的定义式:

在平衡增长路径上其值与t=0时利润率相等,结合(7)式化简得:

从上式出发,当不存在数字平台部门时,生产部门p=1,流通时间不受到影响。利润率为:

附录二:关键解释变量数据构造合理性的说明
在OECD投入产出表中,符合数字平台中间投入的行业分类是“IT和其他信息服务”小类,在此表所遵循的ISICRev.4行业分类中该小类为第62类与第63类的并集。第62类指计算机程序设计、咨询及有关活动,第63类指信息服务活动。而在中国现通行的2017年版《国民经济行业分类标准》(GB2017)中,公布了与ISICRev.4 相对应的行业分类,现节选GB2017中数字平台全部子行业列表如下:


从上表可知,数字平台服务部门大多处于ISICRev. 4分类中的第62与63类中,也即OECD投入产出表“IT和其他信息服务”小类中。除数字平台服务外,该小类的产值中还包含软件、网页和程序设计服务,这类服务不属于数字平台服务,必须剔除。本文利用投入产出表的核算特点实现了这一点:由于生产性的工业软件采购等“IT和其他信息服务”一般会因使用年限远大于1年被记入制造业的固定资产投资,故而在投入产出表中其体现在“IT和其他信息服务”行业最终使用项的固定资产形成中,这一会计处理在中美两国的准则中均一致。除软件定制外,还有一些信息技术相关服务容易引起误解,需要进一步澄清:(1)若企业直接采购或租赁已经成熟的而非为其定制的软件,按照 ISICRev. 4的分类则会体现在“批发和零售”、“租赁”等大类的软件业务小类中,不会与“IT和其他信息服务”混淆;(2)若企业外包工序设计、线路设计或外观设计等生产性流程,此类服务会计入设计所属的行业(如电子设备制造业等),不会与“IT和其他信息服务”混淆;(3)企业向平台公司外包云计算服务,若与软件设计无关,则应当计入“IT和其他信息服务”的中间投入项中,若此类云计算服务用于生产性目的,则将造成一定的混淆。然而在样本期限内,中国云计算发展与制造业结合相对较弱,与制造业的生产性用途结合更弱。制造业许多云计算实例都与供应链管理有关,而这类活动属于促进流通的非生产活动。《云计算发展白皮书2020》指出,2019年我国公有云计算市场(公有云即指所有行业的企业向平台外包云计算服务)规模约689亿元,生产性公有云服务规模应该更小。相比之下,阿里巴巴单个公司2020 年的核心商业平台营收(不含云计算)已达3230亿元。两相对比下,制造业生产性地运用云计算可以忽略不计,这符合中国的数字平台仍为流通主导的现状。最后,云计算服务若与软件设计有关(如云计算智能制造)则不能计入中间投入中。由此可见,尽管可能存在一些由云计算带来的混淆,但可以将其忽略。
因此我们可以稳健地认为,数字平台投入即 OECD 投入产出表“IT 和其他信息服务”的中间投入项。
附录三:利润率微分的变化分析
作出𝐺的两项−θ′(𝑀)[𝑇𝐹+𝑇𝑅(𝑀)+𝑇𝑃]和𝑘[θ(𝑀)−1]组成的一个示意图:

附图2中实线为𝑘[θ(𝑀)−1]项当𝑘取不同的定值时随𝑀变化的图像,长虚线为θ′(𝑀)[𝑇𝐹+𝑇𝑅(𝑀)+𝑇𝑃]的图像,短虚线为𝑘绝对值随𝑀递减时的图像。由图可知,当非生产数字平台提高周转效率的初始值较大,即𝑘绝对值足够大时(在本例中是大于2),实线和长虚线存在交点,利润率会随𝑀呈现先增后减的趋势。当采用更加现实的假设即𝑘的绝对值随𝑀递减时,图中实线将向内旋转到短虚线,门槛点更早出现。
附录四:描述性统计和经验分析结果








作者:谢富胜,中国人民大学全国中国特色社会主义政治经济学研究中心副主任,中国人民大学出版社总编辑,教授;邓可为,中国人民大学经济学院博士研究生;江楠,上海财经大学经济学院讲师
本文转载自经济研究(2025年第2期)。文章经授权发布,如需转载,请统一注明出处人大政治经济学论坛及作者